中国AIモデル「Qwen3.5」登場 オープンながら「GPT-5.2」「Gemini 3 Pro」に匹敵か
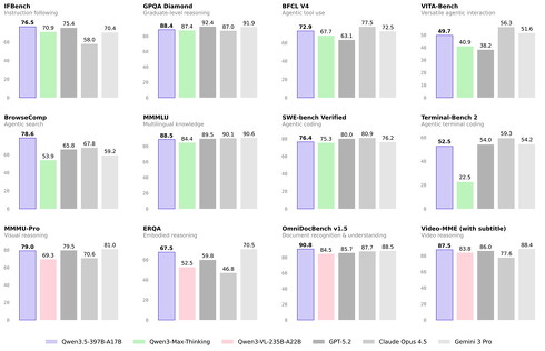
中国Alibabaは2月16日(日本時間)、新たなAIモデル「Qwen3.5-397B-A17B」を発表した。オープンなAIモデルで、テキストに加えて画像や動画にも対応する。一部のタスクでは、米OpenAIのAIモデル「GPT-5.2」や、米Googleの「Gemini 3 Pro」よりも高い性能を示したという。
Qwen3.5-397B-A17Bでは、言語と視覚情報を効率的に処理する仕組みを採用した。総パラメータ数は3970億に達する一方、推論時に使用するパラメータは170億に抑えられる「MoE」(Mixture of Experts)アーキテクチャを引き続き採用している。前モデル「Qwen3」に比べて学習の規模も拡大し、コーディングやタスクを自律的にこなす性能などを高めた。
複数のベンチマークの結果、自律的な検索などの一部のタスクでは、GPT-5.2やGemini 3 Proよりも高い性能を示したという。一方、大学生レベルで推論をする性能などは劣っていた。対応する言語・方言は、Qwen3の119個から201個に増やした。
Qwen3.5-397B-A17Bは、AlibabaのチャットAI「Qwen Chat」などで利用できる他、商用利用もできるライセンス「Apache2.0」でGitHub上で公開している。なお、同社のクラウドサービス上で利用できるAIモデル「Qwen3.5-Plus」も同日に公開している。
Copyright © ITmedia, Inc. All Rights Reserved.
関連記事
こんなメディアも見られています
ITmedia AI+に関連する情報をお探しであれば、こちらのメディアもお役に立てるかもしれません。
SpecialPR
よく見られているカテゴリー
アクセスランキング
-
1
ローカルLLMは本当に手元で動くのか? ハードウェアとモデルの現実的な選び方【2026年春】
-
2
フジクラ社長「データセンター市場、10年は堅調に伸びる」 生産拡大で「3000億円投資」に踏み切ったワケ
-
3
「Google AI Pro」ユーザーはYouTube広告ほぼ非表示 「Premium Lite」無料付与
-
4
孫正義は「知能の石油」を独占するか? ソフトバンクグループが挑む日米データセンター構想
-
5
「私も2次元しか愛せない人間」 小野田大臣がAIへの恋愛感情に見解示す 依存には懸念
-
6
OpenAIの内部モデルが数学の未解決問題を証明──OpenAIは「重要な転換点」、フィールズ賞受賞数学者は「画期的な成果」と評価
-
7
AIがコードを書く時代に、言語を選ぶ意味はあるのか?:880th Lap
-
8
【やさしいデータ分析】ベイズ統計入門 ~ 古典的な統計との違いと使い分け
-
9
「家庭教師のトライ」が学力診断にAI活用 20問解くだけで弱点を推定 生徒と講師の負担減らす
-
10
「SaaS is Dead」でも採用激化? 「作れるだけ」のエンジニアが淘汰されるワケ
SpecialPR
ITmedia AI+ SNS
インフォメーション
注目情報をチェック
ITmedia AI+をフォロー
あなたにおすすめの記事PR