ITmedia NEWS > 科学・テクノロジー >

「週末にたくさん運動」はどのくらい健康に効果的? 7万人以上を対象に分析 中国チームが発表Innovative Tech

» 2025年01月23日 08時00分 公開
[山下裕毅ITmedia]

Innovative Tech:

このコーナーでは、2014年から先端テクノロジーの研究を論文単位で記事にしているWebメディア「Seamless」(シームレス)を主宰する山下裕毅氏が執筆。新規性の高い科学論文を山下氏がピックアップし、解説する。

X: @shiropen2

 中国の杭州師範大学などに所属する研究者らが発表した論文「Accelerometer-derived ‘weekend warrior’ physical activity pattern and brain health」は、週末だけの運動が健康にどれほど効果的かを調査した研究報告である。

「週末にたくさん運動」はどのくらい健康に効果的?

 英国バイオバンクのデータを用いたコホート研究では、7万5629人の参加者を対象に、手首装着型の加速度計で身体活動を測定した。参加者は活動パターンによって3つのグループに分類された。

  • 週150分未満しか中高強度身体活動運動をしない「非活動群」が32.2%
  • 週150分以上の中高強度身体活動運動を分散して行う「定期的運動群」が28.2%
  • 週150分以上の中高強度身体活動運動の50%以上を1〜2日に集中させる「ウィークエンドウォリアー群」が39.6%

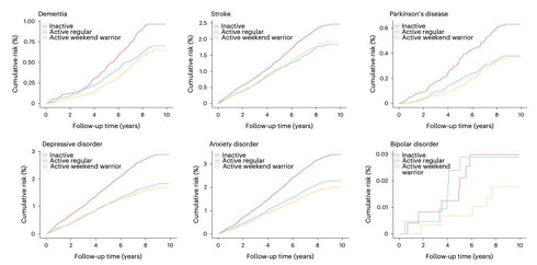
 研究チームは平均8.4年の追跡期間中、脳の健康に関連する6つの疾患(認知症、脳卒中、パーキンソン病、うつ病、不安障害、双極性障害)の発症状況を追跡した。その結果、ウィークエンドウォリアー群は非活動群と比較して、認知症リスク、脳卒中リスク、パーキンソン病リスク、うつ病リスク、不安障害リスクが有意に低下することが判明。この効果は定期的運動群とほぼ同等であった。

中高強度身体活動を基準とした場合の運動パターン別(非活動群「赤」、定期的運動群「青」、ウィークエンドウォリアー群「黄」)における脳関連疾患の発症リスクを示した図

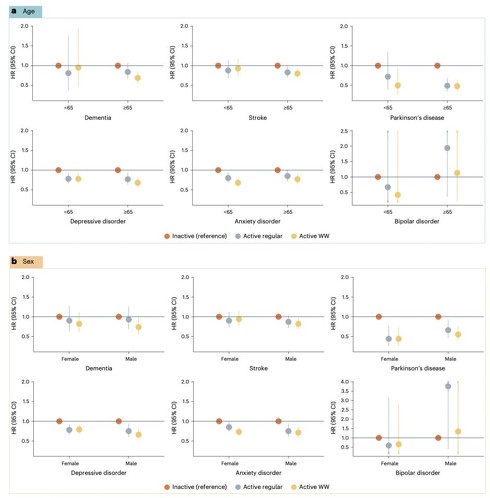
 さらに重要な発見として、この効果は年齢や性別によって大きな違いは見られなかった。65歳未満と65歳以上の両方の年齢層、また男女ともに同様のリスク低下を確認。また、運動量の基準を変えて分析しても、同様の効果を確認できた。

年齢(65歳未満/以上)と性別(男性/女性)で層別化した、運動パターン別と脳疾患発症リスクとの関連性を示した図

 現代の生活様式により平日の運動時間確保が困難な人々にとって、この研究結果は重要な意味を持つ。ウィークエンドウォリアーは、定期的な運動習慣を維持できない人々にとって、脳の健康を維持するための実行可能な代替手段となる可能性がある。

Source and Image Credits: Min, J., Cao, Z., Duan, T. et al. Accelerometer-derived ‘weekend warrior’ physical activity pattern and brain health. Nat Aging 4, 1394-1402(2024). https://doi.org/10.1038/s43587-024-00688-y



Copyright © ITmedia, Inc. All Rights Reserved.

アイティメディアからのお知らせ

あなたにおすすめの記事PR