このコーナーでは、2014年から先端テクノロジーの研究を論文単位で記事にしているWebメディア「Seamless」(シームレス)を主宰する山下裕毅氏が執筆。新規性の高い科学論文を山下氏がピックアップし、解説する。
X: @shiropen2
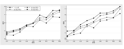
北海道大学に所属する中村聖さんが発表した論文「学力に対するきょうだい構成の影響」は、きょうだい数と出生順位が学力にどのような影響を及ぼすかを検証した研究報告だ。
分析は、2010〜2016年にかけて実施された全国調査のデータを用い、小学1年生から中学3年生までの1971人(1203世帯)の子どもを対象としている。マルチレベル分析という手法により、家族間の違いを統制しながら、同一家族内のきょうだい同士を比較することが可能となった。
分析の結果、きょうだい数については負の影響を確認。算数・数学では一人っ子と2人きょうだいの間に学力差は認められなかったが、国語では2人きょうだいの時点から学力低下が表れていた。3人きょうだいになると両教科で学力低下が見られ、4人以上では更にその傾向が強まった。
算数・数学よりも国語において、きょうだい数の負の影響が大きかった要因として、国語能力が家庭内での読み聞かせや宿題の手伝いなど、親子のやりとりを通じて育成される側面が強いためと考えられる。きょうだいが多いと、親が個々の子どもに割ける時間が減少し、特に家庭内で育成されやすい国語能力に影響が出やすいと推測できる。
一方、出生順位の影響は統計的に有意ではなかった。当初は出生順位が遅い子どもほど学力が低いように見えたが、第2子や第3子の学力が低く見えるのは、単にきょうだい数が多い家庭の子どもであることが原因であって、同じ家庭内での生まれ順そのものは学力に影響しないことを示唆している。
つまり、家族の資源は確かにきょうだい数によって希釈されるが、その影響は生まれ順に関わらず全ての子どもに及ぶということだ。
本論文では、慶應義塾大学 経済学部附属経済研究所パネルデータ設計・解析センターによる「日本家計パネル調査(JHPS/KHPS)」「日本子どもパネル調査(JCPS)」の個票データの提供を受けた。
Source and Image Credits: 中村 聖, 学力に対するきょうだい構成の影響, 現代社会学研究, 2025, 38 巻, p. 1-17, 公開日 2025/06/21, Online ISSN 2186-6163
「第一子は兄弟姉妹よりもIQが高い」――“出生順位”による知能や性格の違いを分析 ドイツチームが2015年に発表
生涯“性交渉をしない人”の特徴とは? 英国居住者40万人を分析 「高学歴」「飲酒・喫煙をしない」など
人間の認知能力は老化ではなく“脳を使わない”と低下 米国チームが発表 使う人は65歳でも低下せず
「酒が人を不道徳にする」のではなく「もともと不道徳な人が酒を飲む」――飲酒後の判断力に関する2019年の研究
「歩くのが遅い人は脳が小さくIQが低い」──歩行速度と脳の構造に相関あり? 米国チームの実験結果Copyright © ITmedia, Inc. All Rights Reserved.
Special
PR