「中小企業の稼ぐ力」を比較 売上増も「利益なき成長」のワケ東京商工リサーチが調査(1/2 ページ)

» 2026年03月19日 08時00分 公開
[秋月かほITmedia]

 新型コロナウイルスの感染拡大から5年が経過した。円安を追い風に、輸出産業や大企業を中心に業績改善が進んでいる。しかし中小企業では売り上げが回復しても、物価や人件費の上昇により、収益改善が限定的になるケースも少なくない。東京商工リサーチは回復状況について地域差や共通の課題があるのか、自社の業績データを基に調査を実施した。

photo 東京商工リサーチが2025年エリア別「中小企業の稼ぐ力」比較調査を実施した(出所:写真AC)

中小企業の業績、関東が回復をけん引

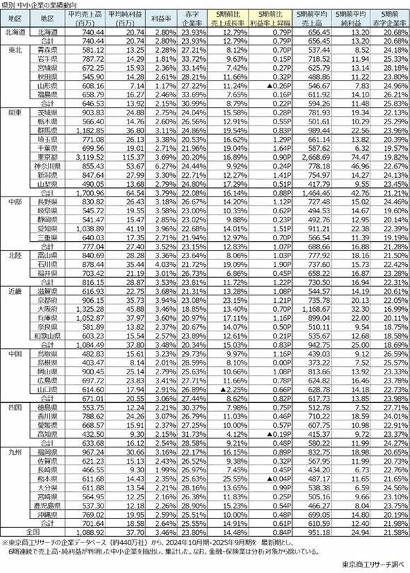
 中小企業の業績について、2024年10月期〜2025年9月期を最新期として抽出したところ、全国平均の売上高は10億8892万円、純利益は3770万円で利益率は3.4%だった。コロナ禍直前期〜初頭の5期前(2019年10月期〜2020年9月期)と比較すると、売上成長率は14.4%、利益率上昇幅は0.8ポイント増加した。

 地区別の業績を比較すると、業績の回復が目立つのは関東で、平均売上高は17億96万円、平均純利益は6454万円、利益率は3.7%に達した。県別では東京都の他、群馬県も平均売上高、売上成長率の高さが目立った。

 利益率・利益率上昇幅では北陸がそれぞれ3.5%、1.2ポイント増と高い一方、東北の数字の低さが目立つ。平均売上高は6億4653万円、平均純利益は1392万円とワーストで、赤字企業率は3割超となった。

 県別で5期前からの売上成長率が最も高いのは熊本県の25.5%増だった。利益率上昇幅が最も高いのは石川県で、1.9ポイント増となった。

photo 県別 中小企業の業績動向(出所:プレスリリース、以下同)
       1|2 次のページへ

Copyright © ITmedia, Inc. All Rights Reserved.

アイティメディアからのお知らせ

SaaS最新情報 by ITセレクトPR
あなたにおすすめの記事PR