読者調査 結果発表――あなたが通信キャリアを選ぶ決め手は?

» 2014年07月11日 23時15分 公開
[田中聡,ITmedia]

 ITmedia Mobileでは6月2日から9日まで、通信キャリアに関する読者アンケートを実施した。通信キャリアを選ぶ決め手、今最も魅力的だと感じているキャリア、利用しているサービスについて、読者の皆さんにお聞きしたところ、500件以上の回答が集まった。アンケートのご回答にあらためて御礼を申し上げるとともに、調査結果の詳細をご紹介したい。

 まずは現在利用している通信キャリアについて、1台目から3台目までを聞いた。1台目はNTTドコモが46.4%、KDDIが35.9%、ソフトバンクモバイルが11.5%で、ドコモとauユーザーが特に多いという結果になった。ドコモは2台目と3台目でもトップにつけており、タブレットやモバイルWi-Fiルーターのユーザーが多いこともうかがえる。格安SIMなどで話題のMVNOを含むその他のユーザーは、2.7%だったが、2台目は10.9%(4位)、3台目は7.0%(3位)と順位が上がっている。

photo Q1.あなたが個人で契約している携帯電話端末について、利用中の「通信キャリア」を教えてください(n=513)

 利用している携帯電話の「形態」と「OS」についても、1台目から3台目まで聞いた。フィーチャーフォンかスマートフォンかの形態については、1台目はスマートフォンが78.9%と多くを占めた。フィーチャーフォン/PHSは19.3%だが、読者の中にもまだ根強いケータイユーザーがいることが分かる。OS別ではAndroidが52%と過半数を占め、iPhone(iOS)は26.9%だった。iOSの日本スマートフォン市場でのシェアは68.7%という調査結果もあるが、ITmedia Mobileの読者はAndroidを好む人の方が多いようだ。

 フィーチャーフォンを2台目や3台目として使っている人はiPhoneよりも多く、スマホをサポートするツールとしてフィーチャーフォンを活用している人が多いといえる。

photo Q2.利用中の携帯電話の「OSタイプ」を教えてください(n=513)

 「これまでに通信キャリアを変更したことはありますか?」という質問では、0回が最も多い36.1%だった。以下1回(27.3%)、2回(16.6%)、3回(8.6%)の順だが、6回以上というつわもの(?)も7.4%いた。

photo Q3.これまでに通信キャリアを変更したことはありますか?(n=513)

 今最も魅力的だと思う通信キャリアについては、NTTドコモが「45.2%」で最も票を集めた。以下、KDDIが28.1%、その他/MVNOが14.8%、ソフトバンクモバイルが8.2%と続く。その他/MVNOがソフトバンクモバイルを上回っているのは意外だが、MVNOへの期待の高さがみてとれる。

photo Q4.あなたが最も魅力的だと思う通信キャリアはどれですか?現在利用中のキャリアに限らずお答えください(n=513)

 では、通信キャリアの魅力を図る基準はどこにあるのか。選択の決め手となった要素を聞いたところ、「電波や通信の品質・安定性」が56.3%でトップだった。次いで「対応エリアの広さ」が55.5%、「通信方式や通信速度」が38.4%と多く、幅広いエリアで安定して速い通信ができることを重視している人が多い。いくら魅力的な料金プランや端末があっても、快適に通信できなければ魅力も半減してしまい、あらためて「通信」の重要性が分かる結果となった。

photo Q5.前問で選択した通信キャリアについて、選択の決め手になった要素をすべてお選びください(n=508)

 続いて、「通信キャリアを変更したくなった場合に思いとどまることがあるか」も聞いた。最も多くの票を集めたのは「2年縛りなどの契約条件による制限や違約金」の51.1%だった。加入条件にもよるが、更新月以外で携帯電話を解約すると、1万円前後の解約金がかかることも珍しくはなく、こうしたペナルティが、キャリア変更を思いとどまらせる一番の要因になっている。そのためか、今後1、2年のうちに通信キャリアを変更する可能性は、0%と答えた人が180人で最も多かった。

photo Q6.通信キャリアを変更したくなった場合に、思いとどまることはありますか? その理由についてあてはまるものをすべてお選びください(n=513)
photo Q7.今後1、2年のうちに、あなたが通信キャリアを変更する可能性は何%程度だと思いますか?(n=513)

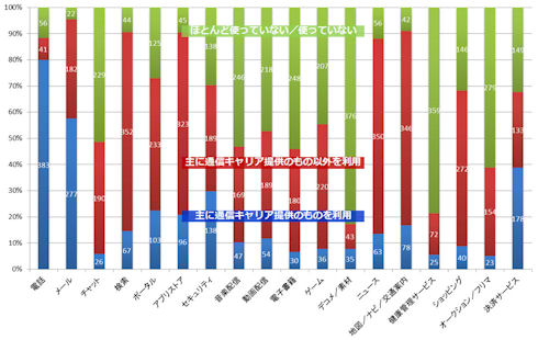
 後半では、スマートフォンではどんなサービスを利用しているのかを、ジャンルごとに聞いた。電話は約80%の人が「主に通信キャリア提供のものを利用」と回答しており、3キャリアが開始した通話定額プランによって、さらに利用者が増えるかもしれない。メールは半数以上が「主に通信キャリア提供のものを利用」しており、チャットサービスの利用者を上回っている。電話とメール以外のキャリアサービスでよく使われているものは、決済サービスの178人だった。

photo Q8.以下について、あなたが利用しているサービスの種類をお答えください(n=482)
※初出時のグラフで「ほとんど使っていない/使っていない」と「主に通信キャリア提供のものを利用」が入れ替わっていました。おわびして訂正いたします(7/14 12:14)

 具体的に利用しているサービスで最も多かったのは、「auスマートパス」の22.6%。ほかに「NAVITIME」(15.4%)や「dビデオ」(8.4%)も多かった。ただし「利用しているものはない」の回答が40.7%で最も多かった。

photo Q9.以下について、あなたが利用しているサービスをすべてお選びください(n=487)

Copyright © ITmedia, Inc. All Rights Reserved.

アクセストップ10

2026年02月12日 更新
  1. KDDI、「副回線サービス」の一部を8月末に終了 “Starlink”や“00000JAPAN”などの代替手段があるため (2026年02月11日)
  2. 楽天モバイル+ドコモ回線がセットの格安SIM「NYCOMO(ニコモ)」 月額4928円でデータ無制限+3GB (2026年02月10日)
  3. ソフトバンク、短期解約を繰り返す「ホッピングユーザー」を抑制 その理由は? (2026年02月09日)
  4. 「東京アプリ」で1.1万円分をゲット、お得な交換先はどこ? dポイント10%増量+楽天ペイ抽選が狙い目か (2026年02月05日)
  5. Amazonで整備済み「iPad(第8世代)」128GBモデルが3万5800円 10.2型ディスプレイ搭載 (2026年02月09日)
  6. Amazonで整備済み「AQUOS sense8」が9%オフで3万円以下 6GB+128GB、5000mAhバッテリー搭載 (2026年02月11日)
  7. 2048Wh、瞬間最大出力2400Wのポータブル電源「EcoFlow DELTA 2 Max」が25万円→9.4万円に (2026年02月10日)
  8. Amazonで整備済み「Galaxy S22 Ultra」ドコモ版が6万4800円 本体にSペンを標準装備 (2026年02月10日)
  9. 財布に入る、カード型の使い切りモバイルバッテリー登場 発火リスクの低いリチウムマンガン電池を採用 (2026年02月09日)
  10. IIJmio、mineo、NUROモバイル、イオンモバイルのキャンペーンまとめ【2月10日最新版】 お得な月額割引や激安スマホも (2026年02月10日)
最新トピックスPR

過去記事カレンダー

2026年